在“多重对应分析”平台中,“详细信息”报表列出奇异值。用于获得这些值的奇异值分解是简单“对应分析”中所用奇异值分解的扩展。
执行简单的“对应分析”时,报表列出的奇异值来自以下奇异值分解:

其中:
• P 是计数除以总频数所得的值构成的矩阵
• r 和 c 是 P 的行总和与列总和
• D 矩阵是 r 和 c 的值构成的对角矩阵
• L 是奇异值的列向量
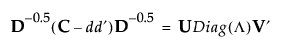
执行“多重对应分析”时,奇异值分解扩展为以下等式:

其中:
• C 是 Burt 表
• d 是 C 的列总和的列向量(d 还是行总和,因为 C 是对称的)
• D 是 d 的值的对角矩阵
在“详细信息”报表中,惯量是列向量 L。奇异值是惯量向量的平方根。列坐标计算如下:
