基本分析 > 二元分析 > “二元”平台的统计详细信息 > “拟合多项式”选项的统计详细信息
发布日期: 03/04/2025

“拟合多项式”选项的统计详细信息

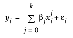
二次多项式是一条抛物线;三次多项式是一条三次曲线。对于 k 次,第 i 行的模型定义如下:

此处显示图片

其中

此处显示图片xi(第 i 个观测)处的响应值

bj 是第 j 个参数

k 是多项式的次数

ei 是模型的误差项

需要更多信息?有问题?从 JMP 用户社区得到解答 (community.jmp.com).