基本分析 > 二元分析 > “二元”平台的统计详细信息 > “失拟”报表的统计详细信息
发布日期: 03/04/2025

“失拟”报表的统计详细信息

本节包含“二元”平台中的“失拟”报表的详细信息。

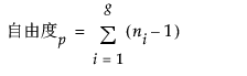
纯误差自由度

对于“纯误差自由度”,请考虑多个观测具有相同身高值的情况。通常,若 g 个组中有多个行对每个效应都包含相同值,则合并自由度(表示为 DFp)定义如下:

此处显示图片

其中,ni 是第 i 组中的观测数。

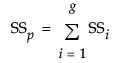
纯误差平方和

对于纯误差平方和,通常,若 g 个组中有多个行都具有相同的 x 值,则合并平方和(表示为 SSp)定义如下:

此处显示图片

其中,SSi 是第 i 组的已校正均值的平方和。

最大 R 方

由于纯误差不随模型形式变化而变化,并且是最小可能方差,最大 R 方计算如下:

此处显示图片

需要更多信息?有问题?从 JMP 用户社区得到解答 (community.jmp.com).