质量和过程方法 > Pareto 图 > “Pareto 图”平台的统计详细信息
发布日期: 03/04/2025

“Pareto 图”平台的统计详细信息

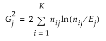
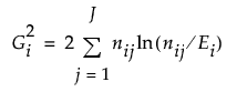
在“Pareto 图”平台中计算的似然比卡方检验统计量使用以下符号:

nij 是组 j 中的原因 i 的计数。

Ej 是组 j 的期望计数。这是每个组跨不同原因的均值计数。

Ei 是原因 i 的期望计数。这是每个原因跨不同组的均值计数。

组内似然比卡方检验统计量

此处显示图片

组间似然比卡方检验统计量

此处显示图片

需要更多信息?有问题?从 JMP 用户社区得到解答 (community.jmp.com).