发布日期: 03/04/2025

此处显示图片随机系数模型的统计详细信息

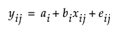
在“拟合模型”平台的“混合模型”特质中,标准随机系数模型指定每个对象的随机截距和斜率。用 yij 表示第 i 个对象的第 j 个观测的测量值。这样,随机系数模型可以指定如下:

此处显示图片

其中

此处显示图片

此处显示图片

此处显示图片

此处显示图片

此处显示图片

您可以重构模型来反映估计的固定成分和随机成分:

此处显示图片

其中

此处显示图片

此处显示图片

此处显示图片

按上文所述定义 Geij

需要更多信息?有问题?从 JMP 用户社区得到解答 (community.jmp.com).