基本分析 > 分布 > “分布”平台的统计详细信息 > 标准差检验的统计详细信息
发布日期: 03/04/2025

标准差检验的统计详细信息

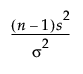
“分布”平台中的标准差检验的检验统计量计算如下:

此处显示图片

当总体服从正态分布时,该检验统计量呈现自由度为 n - 1 的卡方变量的分布。

最小 p 值是双侧检验的 p 值,计算如下:

2*min(p1,p2)

其中,p1 是单尾 p 值下限,p2 是单尾 p 值上限。

需要更多信息?有问题?从 JMP 用户社区得到解答 (community.jmp.com).