发布日期: 03/04/2025

T2 图的统计详细信息

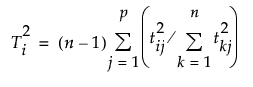
在“偏最小二乘”平台中,第 i 个观测的 T2 值计算如下:

此处显示图片

其中 tij = 第 i 行和第 j 个提取因子的 X 得分,p = 提取的因子数,n = 用于训练模型的观测数。若未使用验证,则 n = 总观测数。

按以下方式计算 T2 图的控制限:

((n-1)2/n)*BetaQuantile(0.95, p/2, (n-p-1)/2)

其中 p = 提取的因子数,n = 用于训练模型的观测数。若未使用验证,则 n = 总观测数。请参见 Tracy et al. (1992)。

需要更多信息?有问题?从 JMP 用户社区得到解答 (community.jmp.com).