可使用“分布”平台中的 Wilcoxon 符号秩检验来检验单一总体的中位数,或在配对数据中检验共同的中位数。在配对的情况下,该检验简化为检验由配对差值组成的单一总体的中位数为零。该检验假定该相应总体是对称的。
Wilcoxon 检验支持结值。使用 Pratt 建议的方法,针对差值为 0 调整了检验统计量。请参见 Lehmann and D’Abrera (2006)、Pratt (1959) 和 Cureton (1967)。
• 有 N 个观测:
X1, X2,..., XN
• 原假设为:
H0:X 的分布围绕 m 对称。
• 观测值与假设值 m 之间的差值计算如下:
Dj = Xj - m
Wilcoxon 符号秩检验的特例适用于配对数据。
• 有来自两个总体的 N 对观测:
X1, X2,..., XN 和 Y1, Y2,..., YN
• 原假设为:
H0:X - Y 的分布围绕 0 对称。
• 观测对之间的差值计算如下:
Dj = Xj -Yj
检验统计量基于符号秩的总和。符号秩定义如下:
• 差值的绝对值 ⎟Dj⎟ 按最小到最大的顺序排列。
• 秩从值 1 开始,即使有差值为零。
• 若存在绝对差值结值,则为其分配观测秩的平均值,即中秩。
用 Rj 来表示差值 Dj 的秩或中秩。Dj 的符号秩定义如下:
• 若差值 Dj 为正数,则符号秩为 Rj。
• 若差值 Dj 为 0,则符号秩为 0。
• 若差值 Dj 为负数,则符号秩为 -Rj。
符号秩统计量计算如下:

定义以下公式:
d0 是等于 0 的符号秩数目
R+ 是正符号秩的总和
则以下公式成立:

对于 N ≤ 20,计算精确 p 值。
对于 N > 20 的情况,使用如下定义的统计量的 Student t 近似。请注意它应用了结值校正。请参见 Iman (1974) 和 Lehmann and D’Abrera (2006)。
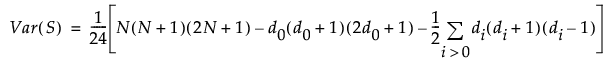
在原假设下,S 的均值为 0。S 的方差通过以下公式得出:

Var(S) 的表达式中最后的求和是在校正结值。符号 di (i > 0) 表示非零符号秩的第 i 组中的值个数。(若给定的符号秩没有结值,则 di = 1 并且被加数为 0。)
下面公式得出的统计量 t 服从自由度为 N - 1 的近似 t 分布:
