本节包含“分布”平台中的单侧和双侧容许区间的统计详细信息。
单侧区间计算如下:
下限 =
上限 =
其中

s 是标准差
t 是非中心 t 分布的分位数
F-1 是标准正态分位数
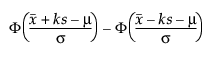
双侧区间计算如下:

其中,s 是标准差,k(1-a/2; p,n) 是一个常数。
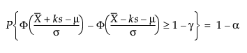
要确定 k,请考虑容许区间覆盖的总体中所占比例。Tamhane and Dunlop (2000) 按如下方式定义该分数:

其中,F 表示标准正态 cdf(累积分布函数)。
因此,k 可对以下方程求解:

其中,1 - g 是容许区间中包含的全部将来观测的比例。
有关基于正态分布的容许区间的详细信息,请参见 Meeker et al.(2017) 中的表 J.1a、J.1b、J.6a 和 J.6b。
100(1 - a)% 单侧容许下限(包含至少比例为 b 的来自样本大小 n 的抽样分布)是次序统计量 x(l)。指数 l 计算如下:

其中,F-1bin(1-a, n, b) 是试验次数为 n 且成功概率为 b 的二项分布的第 (1 - a) 分位数。
实际置信水平计算为 Fbin(n-l, n, b),其中 Fbin(x, n, b) 是试验次数为 n 且成功概率为 b 的二项分布随机变量小于等于 x 的概率。
请注意,要计算单侧分布自由的容许区间的下限,样本大小 n 必须至少与
一样大。
100(1 - a)% 单侧容许上限(包含至少比例为 b 的来自样本大小 n 的抽样分布)是次序统计量 x(u)。指数 u 的计算方式如下:

其中,F-1bin(1-a, n, b) 是试验次数为 n 且成功概率为 b 的二项分布的第 (1 - a) 分位数。
实际置信水平计算为 Fbin(u-1, n, b),其中 Fbin(x, n, b) 是试验次数为 n 且成功概率为 b 的二项分布随机变量小于等于 x 的概率。
请注意,要计算单侧分布自由的容许区间的上限,样本大小 n 必须至少与
一样大。
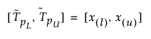
100(1 - a)% 双侧容许区间(包含至少比例为 b 的来自样本大小 n 的抽样分布)计算如下:

其中,x(i) 是第 i 个次序统计量,l 和 u 计算如下:
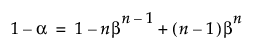
让 n = n - F-1bin(1-a, n, b),其中 F-1bin(1-a, n, b) 是试验次数为 n 且成功概率为 b 的二项分布的第 (1 - a) 个分位数。若 n 小于 2,则无法计算双侧分布自由的容许区间。若 n 大于等于 2,则 l = floor(n/2) 且 u = floor(n + 1 - n/2)。
实际置信水平计算为 Fbin(u-l-1, n, b),其中 Fbin(x, n, b) 是试验次数为 n 且成功概率为 b 的二项分布随机变量小于等于 x 的概率。
请注意,要计算双侧分布自由的容许区间,样本大小 n 必须至少与以下等式中的 n 一样大。

有关分布自由的容许区间的详细信息,请参见 Meeker et al.(2017, sec.5.3)。