预测和专业建模 > 高斯过程 > “高斯过程”平台的统计详细信息 > 方差公式参数化的统计详细信息
发布日期: 03/04/2025

方差公式参数化的统计详细信息

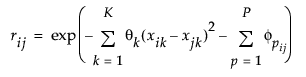
在“高斯过程”平台中,保存的方差公式使用以前定义的 R 的参数化,但在模型包括分类预测变量时例外。当高斯过程模型包含分类预测变量时,保存的方差公式将使用 R 的以下参数化:

此处显示图片

其中,此处显示图片 和所有其他变量都和以前定义的一样。

需要更多信息?有问题?从 JMP 用户社区得到解答 (community.jmp.com).