这些公式中使用了以下符号:
• m 表示总体均值,亦称过程均值或过程水平。
• m0 表示总体的目标均值(或目标)。有时用符号
来表示 m0。请参见 American Society for Quality Statistics Division (2004)。您可以将 m0 用作启动窗口“CUSUM 图的已知统计量”区域中的“目标”。
• s 表示总体标准差。
表示 s 的估计值。
• s0 表示已知的标准差。您可以将 so 用作启动窗口“CUSUM 图的已知统计量”区域中的 Sigma。
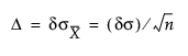
• n 表示 CUSUM 图的名义样本大小。
• d 表示要检测的 m 中的偏移,表示为标准差的倍数。您可以将 d 用作启动窗口“CUSUM 图的已知统计量”区域中的 Delta。
• D 表示要检测的 m 中的偏移,用数据单位表示。若样本大小 n 在各子组之间保持不变,则适用以下计算:

您可以将 D 用作启动窗口“CUSUM 图的已知统计量”区域中的“偏移”。
注意:有些作者使用符号 D 而不是 D。
若要检测的偏移 d 为正,第 t 个子组的累积和计算如下:
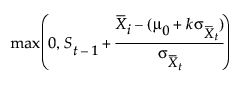
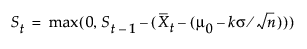
St = max(0, St – 1+ (zt – k))
t = 1, 2,..., n,其中 S0 = 0,zt 针对双侧图定义,参数 k(称为参考值)为正数。若未在启动窗口中指定参数 k,则将 k 设置为 d/2。将 CUSUM St 称为上累积和。St 可计算如下:

序列 St 对子组均值中距离 m0 超过 k 个标准误差的偏差进行累积。若 St 超过正值 h(称为决策区间),则指示偏移或失控状况。
若要检测的偏移为负,第 t 个子组的累积和计算如下:
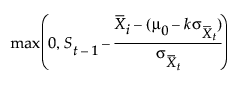
St = max(0, St – 1 – (zt + k))
t = 1, 2,..., n,其中 S0 = 0,zt 针对双侧图定义,参数 k(称为参考值)为正数。若未在启动窗口中指定参数 k,则将 k 设置为 d/2。CUSUM St 称为下累积和。St 可计算如下:

序列 St 对子组均值中距离 m0 为 k 个标准误差以内的偏差绝对值进行累积。若 St 超过正值 h(称为决策区间),则指示偏移或失控状况。
请注意,不论 d 正负如何,St 始终为正,h 始终为正。对于设计用于检测负偏移的图,有些作者定义了 St 的相反版本,即:在 St 小于负限值时指示偏移。
Lucas and Crosier (1982) 描述了 CUSUM 图的快速初始响应 (FIR) 功能的属性,其中的初始 CUSUM S0 设置为“起始值”。他们给出的平均运行链长计算表明 FIR 功能在过程受控时影响极小,所以这导致对初始失控状况的响应速度比标准 CUSUM 图更快。您可以在启动窗口“CUSUM 图的已知统计量”区域中提供“初始值”。
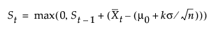
若子组样本大小为常数 (= n),最好按照与数据相同的单位来调整和计算累积和。累积和计算如下:

其中,d > 0

其中 d < 0。在任何一种情况下,参数 k 按
重新调整尺度。若未在启动窗口中指定参数 k,则将 k 设置为 d/2。若 St 超过
则指示偏移。某些作者用符号 H 来代替 h'。
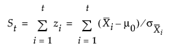
若 CUSUM 图为双侧,为第 t 个子组标绘的累积和 St 定义如下:
St = St - 1 +zt
t = 1, 2,..., n。此处的 S0=0,项 zt 计算如下:

其中,
是第 t 个子组的平均值,nt 是第 t 个子组的样本大小。若子组样本由单个测量值 xt 构成,项 zt 简化为以下计算:
zt = (xt – m0)/s
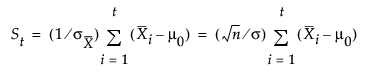
第一个方程可重写为以下形式:

其中,序列 St 对距离目标均值 m0 的子组平均值标准差进行累积。
在许多应用中,子组样本大小 ni 为常数 (ni = n),St 的方程可以简化:

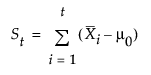
在某些应用中,最好按如下方式计算 St:

该式按照与数据相同的单位来调整尺度。在这种情况下,过程将 V 形模板参数 h 和 k 的尺度分别重新调整为
和
。某些作者用符号 F 代替 k',用 H 代替 h'。
若过程处于受控状态且均值 m 达到目标 m0 或接近该目标,则采用随机漫步模型。因此,点可能离开零,但是不会呈现大的趋势,因为距离 m0 的正偏移量和负偏移量趋近于彼此抵消。若 m 具有正向偏移量,则点呈现向上趋势;若 m 具有负向偏移量,则点呈现向下趋势。