在“控制图生成器”中,使用以下公式生成均值图和 S 图的控制限:
均值图的下控制限 = 
均值图的上控制限 = 
S 图的下控制限 = 
S 图的上控制限 =
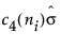
S 图的中心线:默认情况下,第 i 个子组的中心线指示 si 的期望值的估计值。该值计算如下:
,其中
是 s 的估计值。
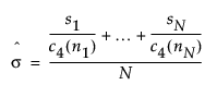
均值/S 图中的标准差估计值为:

其中:
= 子组均值的加权平均值
K = sigma 乘数,且默认设置为 3
s = 过程标准差
ni = 第 i 个子组的样本大小
c4(n) 是服从单位标准差正态分布的 n 个自变量的标准差期望值
c5(n) 是服从单位标准差正态分布的 n 个自变量的标准差的标准误差
N 是 ni ≥ 2 的子组数
si 是第 i 个子组的样本标准差