使用“非线性”平台时,强烈建议中心化多项式。
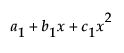
若您具有一个完整的多项式项,而它在参数上是线性的,则最好中心化多项式。这样做可以改进需要优化的数值曲面的条件。例如,若表达式如下所示:

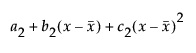
您应将它变换为:

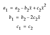
除变换了参数之外,这两个模型是等价的;但是若模型是非线性的,则第二个模型远比第一个模型更容易拟合。
变换参数之后很容易求解。

若迭代次数仍达到最大值,请增加最大迭代次数或放松一个收敛准则。
真的没有一个综合性的优化方法可以解决所有问题。JMP 提供很多选项(如牛顿算法、BFGS 拟牛顿算法、SR1 拟牛顿算法和仅限于数值导数)来扩展“非线性”平台可以解决的问题范围。
若默认设置无法收敛到特殊问题的解,请使用这些设置的各种组合来增加获得收敛的机会。
一些模型对于参数的起始值很敏感。使用新的起始值通常能起到效果。您可以编辑起始值,然后点击重置来查看是否有效。图也可以给您带来帮助,使用滑块可以直观地修改曲线以达到更好的拟合效果。参数刻画器可以提供帮助,但是只适用于小数据集,对于其他数据集来说速度太慢。