发布日期: 03/04/2025

别名矩阵

在设计的实验中,“别名矩阵”条目表示您在“别名项”部分中指定的效应传导给模型参数的偏倚度。别名矩阵也用于定义别名最优性。请参见别名最优性

别名矩阵的计算基于模型矩阵。请参见模型矩阵

X1 作为与“模型”部分中的项对应的模型矩阵。用 X2 表示“别名项”部分中指定的效应的模型项矩阵。

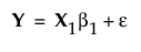
按以下方式给定假设模型:

此处显示图片

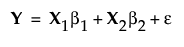
假定一些别名项是活跃的,并且按以下方式给定真实模型:

此处显示图片

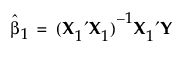
β1 的最小二乘估计量由以下等式给出:

此处显示图片

在通常的回归假设下,此处显示图片 的期望值由以下等式给出:

此处显示图片

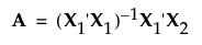
其中 此处显示图片

矩阵 A 称为别名矩阵

需要更多信息?有问题?从 JMP 用户社区得到解答 (community.jmp.com).