JMP 14.2 联机文档
发现 JMP
使用 JMP
基本分析
基本绘图
刻画器指南
实验设计指南
拟合线性模型
预测和专业建模
多元方法
质量和过程方法
可靠性和生存方法
消费者研究
Scripting Guide
JSL Syntax Reference
该帮助的版本不再更新,请参见
https://www.jmp.com/support/help/zh-cn/15.2
获取最新的版本.
基本分析
•
二元分析
•
“二元”平台的统计详细信息
• “失拟”报表
上一个
•
下一个
“失拟”报表
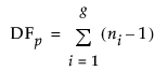
纯误差自由度
对于“纯误差自由度”,请考虑多个观测具有相同身高值的情况。通常,若
g
个组中有多个行对每个效应都包含相同值,则合并自由度(表示为 DF
p
)如下:
其中,
n
i
是第
i
组中的观测数。
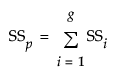
纯误差平方和
对于纯误差平方和,通常,若
g
个组中有多个行都具有相同的
x
值,则合并平方和(表示为 SS
p
)如下:
其中,SS
i
是第
i
组的已校正均值的平方和。
最大 R 方
由于
纯误差
不随模型形式变化而变化,并且是最小可能方差,
最大 R 方
计算如下: