JMP 14.2 联机文档
发现 JMP
使用 JMP
基本分析
基本绘图
刻画器指南
实验设计指南
拟合线性模型
预测和专业建模
多元方法
质量和过程方法
可靠性和生存方法
消费者研究
Scripting Guide
JSL Syntax Reference
该帮助的版本不再更新,请参见
https://www.jmp.com/support/help/zh-cn/15.2
获取最新的版本.
基本分析
•
列联分析
•
“列联”平台的统计详细信息
• “一致性统计量”选项
上一个
•
下一个
“一致性统计量”选项
查看作为
n
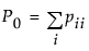
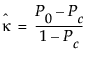
个对象的两个独立评级的两个响应变量时,当评级员具有完全一致性时,Kappa 系数等于 +1。当观测到的一致性超过机会一致性时,Kappa 系数为正数,其量值反映一致性的程度。尽管不常见,当观测到的一致性小于机会一致性时,Kappa 为负数。Kappa 的最小值介于 -1 到 0 之间,取决于边缘比例。
Kappa 系数计算如下:
其中
,
请注意,
是第
个单元格中的对象的比例,所以
。
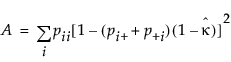
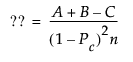
按以下方式估计简单 kappa 系数的渐近方差:
其中
,
,
请参见 Cohen (
1960
) 和 Fleiss et al. (
1969
)。
对于 Bowker 对称性检验,原假设为 2x2 表中的概率满足对称性 (
p
ij
=
p
ji
)。