JMP 14.2 联机文档
发现 JMP
使用 JMP
基本分析
基本绘图
刻画器指南
实验设计指南
拟合线性模型
预测和专业建模
多元方法
质量和过程方法
可靠性和生存方法
消费者研究
Scripting Guide
JSL Syntax Reference
该帮助的版本不再更新,请参见
https://www.jmp.com/support/help/zh-cn/15.2
获取最新的版本.
基本分析
•
分布
•
“分布”平台的统计详细信息
• 标准误差条
上一个
•
下一个
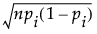
标准误差条
标准误差条是使用标准误差
计算的,其中
p
i
=
n
i
/
n
。