通过“选择”模型的参数估计值我们能够获得消费者效用或线性效用函数中的边缘效用。效用反映了消费者对具有特定特性的产品的满意度水平,由模型的参数估计值确定。
|
‒
|
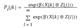
⊗ 是 Kronecker 逐行乘积
|
|
‒
|
分子用于计算实际选择的第 j 个备选
|
|
‒
|
分母对提供给该测试对象的 m 个选择求和
|
