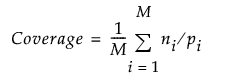
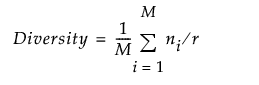
t 是设计的强度
K 是因子数
r 是设计中的试验次数
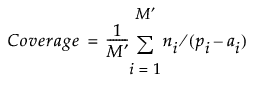
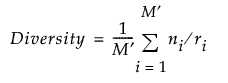
在受约束设计中,不允许某些特定的 t 元组。这可能导致某些 t 元组缺失值。对于 t 个因子的某些组合,可能根本不存在有效的 t 元组。覆盖率和多样性必须按照可能的有效组合来定义。因此,受约束设计的公式需要使用其他符号:
m 是不存在有效 t 元组的投影数






