可使用默认 MaxPro(最大投影)最优性准则或通过选择重心法准则来获取最终设计点。您可以在该报表的红色小三角菜单中的“FFF 最优性准则”下找到这些选项。
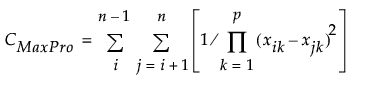
MaxPro 准则可在考虑所有因子的前提下,令可能设计点之间的距离乘积最大化。这样即可支持为因子投影提供良好的空间填充属性的目标。请参见 Joseph et al. (2015)。Max Pro 选项是默认选项。
|
•
|
|
•
|
生成由连续变量定义的设计空间内的大量点。将它们分为 k 个主聚类。
|
|
•
|
|
•
|
在每个主聚类中,使用指定的 FFF 最优性准则计算 m 个子聚类中每个子聚类的设计点。
|
|
•
|
