以下示例是 Byrne 和 Taguchi (1986) 描述的实验。该实验的目的是要找出可将尼龙管的粘度(黏着力)最大化的控制因子设置。针对三个噪声因子评估了四个控制因子。
|
1.
|
选择实验设计 > 经典 > 田口数组。
|
|
2.
|
|
3.
|
|
4.
|
确保为内表选定了 L9 - 田口。
|
|
5.
|
为外表设计点击 L8。
|
图 14.2 完成的“田口设计”窗口
|
6.
|
点击继续。
|
图 14.3 输入数据之前的田口设计
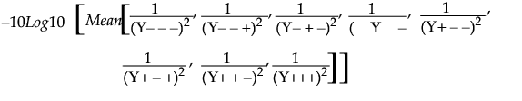
信噪比 Y 列是将响应最大化的性能统计量(越大越好)。该统计量用 –10 乘以响应的平方倒数平均值的常用对数计算得出:
当所有单个 y 响应值都很大时,该表达式也会很大。也就是说,您要尽量查找针对噪声设置生成最大响应的信号设置。
|
1.
|
在 Byrne Taguchi Data.jmp 数据表中,点击绿色箭头以运行“模型”脚本。
|
图 14.5 田口数据的“拟合模型”启动窗口
|
2.
|
点击运行。
|
图 14.6 预测刻画器
|
3.
|
从“预测刻画器”红色小三角菜单中选择最优化和意愿 > 意愿函数。
|
这将向刻画器添加一行迹线和一列函数设置,如图 14.7所示。默认意愿函数设置为“望大特性”,这正是您要在该实验中实现的目标。有关预测刻画器中的意愿函数的更多详细信息,请参见《刻画器指南》手册中的“刻画器”。
|
4.
|
从“预测刻画器”红色小三角菜单中选择最优化和意愿 > 最大化意愿。
|
图 14.7 Byrne Taguchi 数据的最佳因子设置






