|
1.
|
|
2.
|
|
3.
|
|
4.
|
从统计量下拉列表中选择均值。
|
|
5.
|
|
7.
|
|
8.
|
点击确定。
|
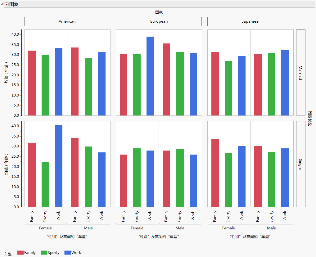
图 14.9 包含两个分组变量和两个类别变量的图表的示例
