|
1.
|
|
2.
|
选择图形 > 传统图形 > 图表。
|
|
3.
|
|
4.
|
|
5.
|
|
6.
|
从统计量菜单中选择均值。
|
|
7.
|
点击确定。
|
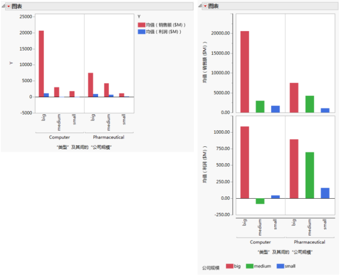
图 14.14中的左图显示了结果。
图 14.14中的右图显示了结果。
图 14.14 包含两个统计量和两个类别的图表的示例
