|
1.
|
|
2.
|
|
3.
|
|
4.
|
|
5.
|
点击确定。
|
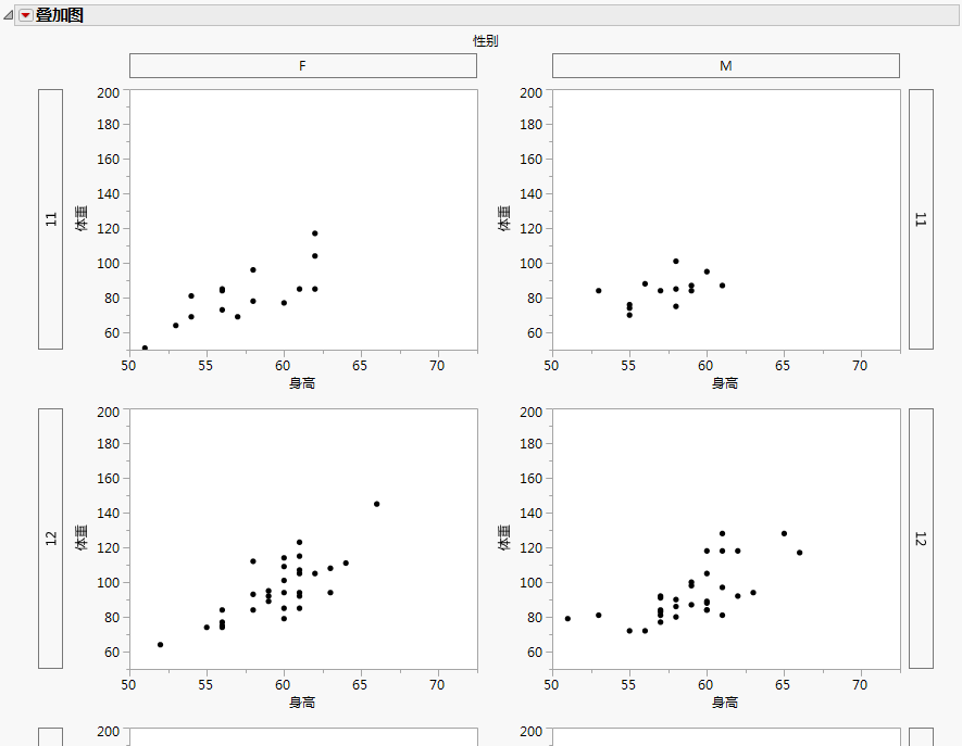
图 5.11 不包含单独轴的分组图
图 5.12 分组变量

