|
2.
|
点击添加。
|
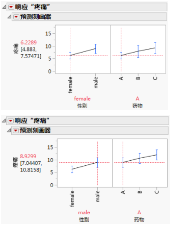
图 2.9显示 Analgesics.jmp 样本数据表的数据拟合的两个刻画器图。模型效应为性别和药物。响应为疼痛。要获取该图,请选择分析 > 拟合模型,将疼痛选作 Y,将性别和药物选作模型效应,然后点击运行。从报表的红色小三角菜单中,选择因子刻画 > 刻画器。
图 2.9 不含交互作用的双因子方差分析的模型拟合
