JMP 14.2 联机文档
发现 JMP
使用 JMP
基本分析
基本绘图
刻画器指南
实验设计指南
拟合线性模型
预测和专业建模
多元方法
质量和过程方法
可靠性和生存方法
消费者研究
Scripting Guide
JSL Syntax Reference
该帮助的版本不再更新,请参见
https://www.jmp.com/support/help/zh-cn/15.2
获取最新的版本.
拟合线性模型
•
广义回归模型
•
“广义回归”特质的统计详细信息
• 分布的统计详细信息
上一个
•
下一个
分布的统计详细信息
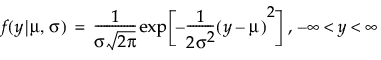
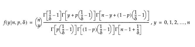
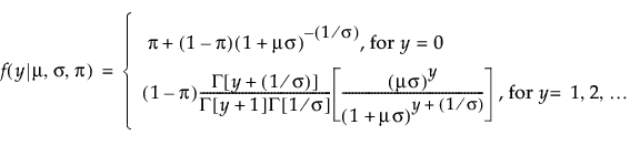
下面根据模型拟合中使用的参数给出了按“广义回归”特质拟合的分布。尽管没有专门在说明中指出,但是“广义回归”特质允许您对离散分布指定非整数值。
连续分布
正态分布
Cauchy 分布
指数分布
Gamma 分布
Weibull 分布
对数正态分布
Beta 分布
离散分布
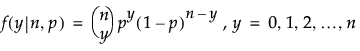
二项分布
Beta 二项分布
Poisson 分布
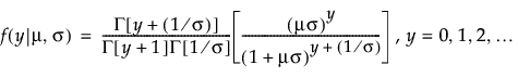
负二项分布
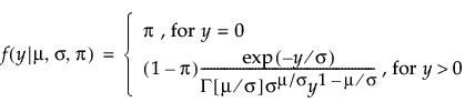
零泛滥分布
零泛滥二项分布
零泛滥 Beta 二项分布
零泛滥 Poisson 分布
零泛滥负二项分布
零泛滥 Gamma 分布