多元结果表中的检验统计量是
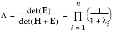
的特征值 λ 的函数。 以下列表说明了每个检验统计量的计算。
的特征值 λ 的函数。 以下列表说明了每个检验统计量的计算。|
•
|
|
•
|
E 和 H 定义如下:
自左乘,然后用 


,
的最大特征值。
