JMP 14.2 联机文档
发现 JMP
使用 JMP
基本分析
基本绘图
刻画器指南
实验设计指南
拟合线性模型
预测和专业建模
多元方法
质量和过程方法
可靠性和生存方法
消费者研究
Scripting Guide
JSL Syntax Reference
该帮助的版本不再更新,请参见
https://www.jmp.com/support/help/zh-cn/15.2
获取最新的版本.
拟合线性模型
•
标准最小二乘法报表和选项
•
回归报表
• 参数估计值
上一个
•
下一个
参数估计值
“参数估计值”报表显示模型参数的估计值,并为每个参数提供假设该参数等于 0 的
t
检验。
注意:
尽量获取并检验估计值,即便模型项之间存在线性相依性也不例外。此类估计值标记为“有偏”或“清零”。详细信息,请参见
模型项之间具有线性相依性的模型
。
项
与估计参数对应的模型项。第一个项始终是截距,除非在“拟合模型”启动窗口中选定了“无截距”选项。连续效应以数据表列的名称显示。请注意,属于高阶项一部分的连续列可能被中心化。名义型或有序型效应的水平值显示在括号中。有关名义型和有序型项的编码的信息,请参见
名义型效应的编码
和
因子模型
。
估计值
每个项的参数估计值。这些值是模型系数的估计值。若模型项之间存在线性相依性,这些估计值可能标记为“有偏”或“清零”。请参见
模型项之间具有线性相依性的模型
。
标准误差
每个估计参数的标准误差的估计值。
t
比
检验每个参数的真实值是否为 0。
t
比是估计值与其标准误差之比。在有关模型的一般假设下,
t
比在原假设下服从 Student
t
分布。
概率>|t|
实际参数值为零(而不是双侧备择假设下它不为零)的检验的
p
值。
95% 下限
参数估计值的 95% 置信下限。仅当已选定“回归报表”>“显示所有置信区间”选项或是在报表中右击并选择“列”>“95% 下限”时,该列才显示。
95% 上限
参数估计值的 95% 置信上限。仅当已选定“回归报表”>“显示所有置信区间”选项或是在报表中右击并选择“列”>“95% 上限”时,该列才显示。
标准 Beta
回归模型的参数估计值,模型中所有项都标准化为均值等于 0 且标准差等于 1。仅当您在报表中右击并选择“列”>“标准 Beta”时才显示该列。
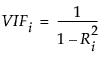
VIF
模型中每个项的方差膨胀因子。高 VIF 指示模型中的项存在共线性问题。
第
i
个项
x
i
的 VIF 定义如下:
其中,
R
i
2
是作为其他解释变量函数的
x
i
的回归的 R 方或
多重判定系数
。仅当您在报表中右击并选择“列”>“VIF”时才显示该列。
设计标准误差
参数估计值的
相对方差
的平方根 (Goos and Jones
2011
, p. 25):
这些值是标准误差除以 RMSE 的结果。仅当您在报表中右击并选择“列”>“设计标准误差”时才显示该列。