JMP 14.2 联机文档
发现 JMP
使用 JMP
基本分析
基本绘图
刻画器指南
实验设计指南
拟合线性模型
预测和专业建模
多元方法
质量和过程方法
可靠性和生存方法
消费者研究
Scripting Guide
JSL Syntax Reference
该帮助的版本不再更新,请参见
https://www.jmp.com/support/help/zh-cn/15.2
获取最新的版本.
拟合线性模型
•
统计详细信息
•
关键统计概念
• 不确定性,统一的概念
上一个
•
下一个
不确定性,统一的概念
做会计核算时,您合计所有金额来获得汇总信息。在查看具有不确定性或噪声的科学观测值时,需要采用一些统计测度来汇总数据。像金额是可以累加的一样,若您选择了正确的测度,不确定性也可以累加。
最好的测度不是直接概率,因为要得到联合概率,您必须假定观测是独立的,然后将概率相乘而非相加。取每个概率的对数更简单,因为您可以对它们求和,总和是联合概率的对数。
但是,概率的对数是负数,因为它是介于 0 到 1 的数值的对数。为了使数值为正,JMP 使用概率的负对数。随着概率变得更小,其负对数变得更大。该测度称为不确定性,它与概率的测量方式相反。
在商业上,您想使收入最大化而使成本最小化。在科学上,您想最大程度降低不确定性。不确定性在科学中的作用就像成本在商业中的作用一样。所有统计方法拟合模型以使不确定性最小。
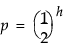
将不确定性可视化并不困难。请设想抛一系列硬币的情形:每次抛是独立的。抛出正面的概率为 0.5,其以 2 为底的对数 -log(0.5) 为 1。连续抛出
h
次正面的概率为:
对
h
求解将生成以下结果:
您可以将某个事件的不确定性设想为,为了得到同等罕见的事件,您在抛掷中必须连续得到“正面”的次数。
在统计学上我们做的每件事几乎都有不确定性,-log
p
。统计文献将不确定性表示为
负对数似然
。