JMP 14.2 联机文档
发现 JMP
使用 JMP
基本分析
基本绘图
刻画器指南
实验设计指南
拟合线性模型
预测和专业建模
多元方法
质量和过程方法
可靠性和生存方法
消费者研究
Scripting Guide
JSL Syntax Reference
该帮助的版本不再更新,请参见
https://www.jmp.com/support/help/zh-cn/15.2
获取最新的版本.
拟合线性模型
•
统计详细信息
•
功效计算
• LSV 的计算
上一个
•
下一个
LSV 的计算
仅为单个线性对比计算 LSV。
单个线性对比的检验
考虑自由度为 1 的检验
L
β
= 0,其中
L
是常数的行向量。该假设的
t
检验的检验统计量为:
其中
s
是均方根误差。若检验统计量的绝对值超过 t 分布的 1 -
α
/2 分位数
t
1-
α
/2
(自由度等于误差自由度),则在显著性水平
α
上拒绝该假设。
要查找最小显著值(用 (
Lb)
LSV
表示),我们求
Lb
的解:
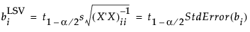
单个参数的检验
在线性对比检验一个假设(设置单个
β
i
等于 0)的特例中,这简化为:
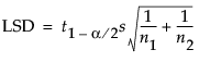
均值差异的检验
在相关检验是比较两组均值的情形中,文献提到了
最小显著性差异 (LSD)
。在模型只包含一个名义型变量的特例中,检验单个线性对比的公式简化为 LSD 的公式:
但是,在 JMP 中,与名义型效应的水平关联的参数测量该水平的均值和所有水平的均值的差异。因此,用于这类比较的 LSV 是用于均值差异的 LSD 的一半。
注意:
若您在检验名义型效应水平上的对比,请记住 JMP 是如何编码名义型效应的。即,与给定水平关联的参数测量针对所有水平平均值的差异。