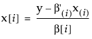
使用 Fieller 定理 (1954) 计算置信限,该定理基于以下逻辑。目标是在给定其他回归变量值和响应值的情况下预测单个回归变量的值以及它的置信限。
|
•
|
|
•
|
|
•
|
设 y 为响应值。
|
|
•
|
|
•
|
|
•
|
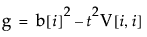
注意:计算逆预测的置信区间时,“以 X 拟合 Y”Logistic 平台和“拟合模型名义型 Logistic”特质使用 t 值。“拟合模型广义线性模型”特质以及 SAS/STAT 中的 PROC PROBIT 使用 z 值,它们给出不同结果。







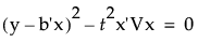
形式的两个不相交区间,其中 
或
(只能是其中之一)