Converts the temperature n to the value of explanatory variable in Arrhenius model.
The inverse of the Arrhenius function. Converts the value n to the temperature in Celsius.
ea.
Multiplies all numbers 1 through n, inclusive
Gamma(t, limit) is the same integral as Gamma(t) but with the limit of integration that is defined instead of infinity.
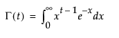
Returns the log gamma function for t, which is the natural log of gamma.
LnZ() is intended for internal use by derivatives. The Ln(n) function is recommended instead.
Returns the natural logarithm (base e logarithm) of n. An optional second argument lets you specify a different base. For example, Log(n,3) for the base 3 logarithm of n. The Log argument can be any numeric expression. The expression Log(e()) evaluates as 1, and Log(32,2) is 5.
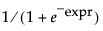
Returns log(p/(1-p)).
This function returns the number of n things taken k at a time (“n choose k”) and is computed in the standard way using factorials, as
. For example, NChooseK(5,2) evaluates as 10.
. For example, NChooseK(5,2) evaluates as 10.Returns x1*x2*(x1-x2). This function supports notation for cubic mixture models.
Returns the trigamma function evaluated at n. The trigamma function is the derivative of the digamma function.


.