JMP 14.2 联机文档
发现 JMP
使用 JMP
基本分析
基本绘图
刻画器指南
实验设计指南
拟合线性模型
预测和专业建模
多元方法
质量和过程方法
可靠性和生存方法
消费者研究
Scripting Guide
JSL Syntax Reference
该帮助的版本不再更新,请参见
https://www.jmp.com/support/help/zh-cn/15.2
获取最新的版本.
多元方法
•
层次聚类
•
“层次聚类”平台的统计详细信息
• 距离方法公式
上一个
•
下一个
距离方法公式
本节提供基于您在启动窗口中选择的方法计算距离的公式。有关方法说明,请参见
计算距离的方法
。
公式使用以下符号,小写符号通常与观测有关,大写符号通常与聚类有关:
n
是观测数
v
是变量数
x
i
是第
i
个观测
C
K
是第
K
个聚类,是 {1, 2,...,
n
} 的子集
N
K
是
C
K
中的观测数
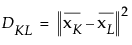
x̄
是样本均值向量
x̄
K
是聚类
C
K
的均值向量
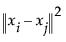
是
x
各元素的平方和的平方根(向量
x
的欧氏长度)
d
(
x
i
,
x
j
) 为
类平均法
类平均聚类法的距离计算如下:
重心法
聚类重心法的距离计算如下:
Ward 法
Ward 法距离计算如下:
最短距离法
最短距离聚类法的距离计算如下:
最长距离法
最长距离聚类法的距离计算如下: