JMP 14.2 联机文档
发现 JMP
使用 JMP
基本分析
基本绘图
刻画器指南
实验设计指南
拟合线性模型
预测和专业建模
多元方法
质量和过程方法
可靠性和生存方法
消费者研究
Scripting Guide
JSL Syntax Reference
该帮助的版本不再更新,请参见
https://www.jmp.com/support/help/zh-cn/15.2
获取最新的版本.
多元方法
•
多维尺度化
•
“多维尺度化”平台的统计详细信息
• Stress
上一个
•
下一个
Stress
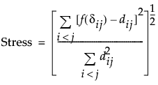
使用以下符号定义 Stress:
•
i, j - 对象数的下标
•
d
ij
- 对象 i 与 j 之间的派生距离
δ
ij
- 对象 i 与 j 之间的观测相对距离
•
- 距离的变换函数
Stress 函数的表达式如下:
这一 Stress 测度亦称 Kruskal Stress I 型,或简称 Stress1。