JMP 14.2 联机文档
发现 JMP
使用 JMP
基本分析
基本绘图
刻画器指南
实验设计指南
拟合线性模型
预测和专业建模
多元方法
质量和过程方法
可靠性和生存方法
消费者研究
Scripting Guide
JSL Syntax Reference
该帮助的版本不再更新,请参见
https://www.jmp.com/support/help/zh-cn/15.2
获取最新的版本.
多元方法
•
多维尺度化
•
“多维尺度化”平台的统计详细信息
• 特性列表格式
上一个
•
下一个
特性列表格式
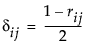
若数据表采用特性列表格式,它将转换为距离矩阵,然后应用 MDS。距离矩阵由数据的相关性结构来确定。
JMP 使用以下变换生成距离矩阵或相异度矩阵:
注意:
有关 MDS 平台的高级示例,请参见
San Francisco Crime Distances.jmp
样本数据表和该表的源脚本。该脚本创建的距离矩阵随后用于探索犯罪类别之间的关系。