JMP 14.2 联机文档
发现 JMP
使用 JMP
基本分析
基本绘图
刻画器指南
实验设计指南
拟合线性模型
预测和专业建模
多元方法
质量和过程方法
可靠性和生存方法
消费者研究
Scripting Guide
JSL Syntax Reference
该帮助的版本不再更新,请参见
https://www.jmp.com/support/help/zh-cn/15.2
获取最新的版本.
多元方法
•
偏最小二乘模型
•
“偏最小二乘”平台的统计详细信息
• T2 图
上一个
•
下一个
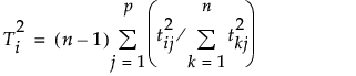
T
2
图
按以下方式计算第
i
个观测的 T
2
值:
其中
t
ij
= 第
i
行和第
j
个提取因子的 X 得分,
p
= 提取的因子数,
n
= 用于训练模型的观测数。若未使用验证,则
n
= 总观测数。
按以下方式计算 T
2
图的控制限:
((
n
-1)
2
/
n
)*BetaQuantile(0.95, p/2, (
n
-
p
-1)/2)
其中
p
= 提取的因子数,
n
= 用于训练模型的观测数。若未使用验证,则
n
= 总观测数。请参见 Tracy et al. (
1992
)。