JMP 14.2 联机文档
发现 JMP
使用 JMP
基本分析
基本绘图
刻画器指南
实验设计指南
拟合线性模型
预测和专业建模
多元方法
质量和过程方法
可靠性和生存方法
消费者研究
Scripting Guide
JSL Syntax Reference
该帮助的版本不再更新,请参见
https://www.jmp.com/support/help/zh-cn/15.2
获取最新的版本.
多元方法
•
主成分
•
“主成分分析”平台的统计详细信息
• 离群值分析中的计算
上一个
•
下一个
离群值分析中的计算
“离群值分析”报表中的计算使用以下符号。
n =
观测数
A =
主成分数
X
ci
=
第
i
个观测的标准化数据
T
2
统计量
按以下方式计算第
i
个观测的
T
2
统计量:
其中,
P
A
是包含第一个
A
特征向量的矩阵,
L
是包含第一个
A
特征值的对角线矩阵。
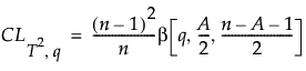
T
2
图的中位数和上控制限计算如下:
其中
要计算中位数,请使用
q =
0.5。要计算上控制限,请使用
q =
(1 -
α
)。
贡献统计量
第
i
个观测的
T
2
贡献统计量的向量计算如下:
注意:
单值的平方贡献的总和等于该单值的
T
i
2
。