JMP 14.2 联机文档
发现 JMP
使用 JMP
基本分析
基本绘图
刻画器指南
实验设计指南
拟合线性模型
预测和专业建模
多元方法
质量和过程方法
可靠性和生存方法
消费者研究
Scripting Guide
JSL Syntax Reference
该帮助的版本不再更新,请参见
https://www.jmp.com/support/help/zh-cn/15.2
获取最新的版本.
多元方法
•
统计详细信息
•
“宽线性”方法和奇异值分解
• SVD 和逆协方差矩阵
上一个
•
下一个
SVD 和逆协方差矩阵
一些多元方法需要计算协方差矩阵的逆矩阵。本节说明如何使用 SVD 来计算协方差矩阵的逆矩阵。
用
X
s
表示标准化数据矩阵并定义
S
=
X
s
’X
s
。奇异值分解允许您将
S
表示为:
若
S
是满秩的,则
V
是
p
x
p
正交矩阵,您可以将
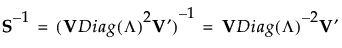
S
-1
表示为:
若
S
不是满秩的,则
Diag
(
Λ
)
-1
可以使用广义逆矩阵
Diag
(
Λ
)
-1
代替,其中
Diag
(
Λ
) 的对角元素用其倒数替代。这便按以下方式定义
S
的广义逆矩阵:
该广义逆矩阵只使用 SVD 就可以计算得到。
要了解将 SVD 应用于宽线性判别分析的具体详细信息,请参见
“判别分析”一章中第 94 页的
“宽线性判别方法”
。