图 2.4中的演示说明如何使用“预测刻画器”组件。在解释预测刻画时需要注意几个要点:
|
•
|
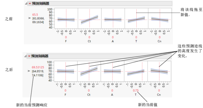
若更改某个因子的值,该因子的预测迹线不受影响,但所有其他因子的预测迹线可能更改。Y 响应线必须穿过预测迹线与其当前值线的交点。
|
图 2.4 将一个因子的值从 0 改为 0.75
在下面使用 Tiretread.jmp 的示例中,观察弹性系数(作为硫磺和硅烷的函数,硅石保持不变)表达式的响应曲面。现在观察网格如何在硫磺值为 2.25 处横切硅烷。注意切片如何与曲面相交。若转换到下图,这将成为硅烷的刻画线。同样,请注意网格在硅烷值为 50 处横切硫磺。相交部分向下转换到硫磺图形上即为硫磺的刻画线。
图 2.5 横截面刻画器
现在考虑将硫磺的当前值从 2.25 改为 1.5。
图 2.6 横截面刻画器
在“预测刻画器”中,请注意新值只是沿着同一条硫磺曲线移动,硫磺曲线本身并未改变。但是硅烷的刻画线现在是在硫磺的一个不同切点上取值。硅烷的刻画线同时也要高一些,并在更接近硅烷当前值 50 的另一位置达到高点。
图 2.7 连续因子设置窗口



