JMP 14.2 联机文档
发现 JMP
使用 JMP
基本分析
基本绘图
刻画器指南
实验设计指南
拟合线性模型
预测和专业建模
多元方法
质量和过程方法
可靠性和生存方法
消费者研究
Scripting Guide
JSL Syntax Reference
该帮助的版本不再更新,请参见
https://www.jmp.com/support/help/zh-cn/15.2
获取最新的版本.
刻画器指南
•
刻画器
•
预测刻画器的统计详细信息
• 误差传播直条
上一个
•
下一个
误差传播直条
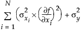
当因子值不太可控,而要根据因子值变异刻画响应变异的特性时,误差传播 (POE) 十分重要。
在 JMP 实现中,“预测刻画器”首先查看因子和响应变量以检查是否存在 Sigma 列属性(用于指定列的标准差,可通过“列”>“列信息”对话框访问)。若该属性存在,则可通过“预测刻画器”下拉菜单访问“误差传播直条”命令。这将会显示因为因子变异而在响应上隐含的 3
σ
区间。
图 3.36
“预测刻画器”中的绿色误差传播直条
误差传播在图形中通过绿色方括号来表示。方括号指示预测值加/减三倍的误差传播方差平方根。误差传播方差可表示为:
其中 σ
y
是响应列的用户指定的 sigma,σ
x
是因子列的用户指定的 sigma。
当前,通过数值导数来计算这些偏导数:
centered, with
δ
=xrange/10000
当您处于响应曲面较陡峭的部分时,响应曲面模型中的误差传播限值会显著增加。稳健过程的目标之一是在响应曲面的平缓区域操作,这样因子中的变异不会放大其对响应的效应。