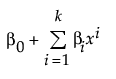
“拟合曲线”模型公式提供了“拟合曲线”红色小三角菜单中的模型的公式。
|
其中,k 是多项式的阶数。您也可以使用“拟合模型”平台和“以 X 拟合 Y”平台拟合这些模型。
|
|
|
a = 增长率
b = 拐点
|
|
|
a = 增长率
b = 拐点
c = 渐近线
|
|
|
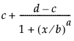
a = 增长率
b = 拐点
c = 下渐近线
d = 上渐近线
|
|
|
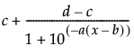
a = 增长率
b = 拐点
c = 下渐近线
d = 上渐近线
|
|
|
a = 增长率
b = 拐点
c = 下渐近线
d = 上渐近线
|
|
|
a = 增长率
b = 拐点
c = 渐近线 1
d = 渐近线 2
f = 幂次
|
|
|
a = 增长率
b = 拐点
Φ = 正态分布 CDF
|
|
|
a = 增长率
b = 拐点
c = 渐近线 1
d = 渐近线 2
Φ = 正态分布 CDF
|
|
|
a = 渐近线
b = 增长率
c = 拐点
|
|
|
a = 下渐近线
b = 上渐近线
c = 增长率
d = 拐点
|
|
|
a = 上渐近线
b = 增长率
c = 拐点
|
|
|
a = 尺度
b = 增长率
|
|
|
a = 渐近线
b = 尺度
c = 增长率
|
|
|
a = 尺度 1
b = 衰减率 1
c = 尺度 2
d = 衰减率 2
|
|
|
a = 渐近线
b = 尺度 1
c = 衰减率 1
d = 尺度 2
f = 衰减率 2
|
|
|
a = 渐近线
b = 尺度
c = 增长率
|
|
|
a = 峰值
b = 临界点
c = 增长率
|
|
|
a = 峰值
b = 增长率
c = 临界点
|
|
|
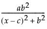
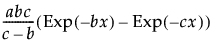
a = 曲线下面积
b = 消除率
c = 吸收率
|
|
|
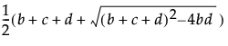
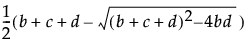
α =
![]() β =
![]() a = 初始浓度
b = 入向传输率
c = 出向传输率
d = 消除率
|
|
|
a = 最大反应率
b = 逆亲和性
|















































