JMP 14.2 联机文档
发现 JMP
使用 JMP
基本分析
基本绘图
刻画器指南
实验设计指南
拟合线性模型
预测和专业建模
多元方法
质量和过程方法
可靠性和生存方法
消费者研究
Scripting Guide
JSL Syntax Reference
该帮助的版本不再更新,请参见
https://www.jmp.com/support/help/zh-cn/15.2
获取最新的版本.
预测和专业建模
•
高斯过程
•
“高斯过程”平台的统计详细信息
• 包含连续预测变量的模型
上一个
•
下一个
包含连续预测变量的模型
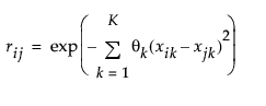
若高斯过程模型仅包含连续预测变量,则“高斯过程”平台执行两个可能的相关性结构:“高斯”和“三次”相关。
高斯相关性结构使用幂为 2 的指数积相关性函数作为估计模型。该模型假设:
Y
服从均值为
μ
且协方差矩阵为
σ
2
R
的正态分布。
R
矩阵的元素定义如下:
其中
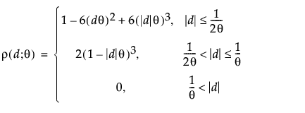
“三次”相关性结构也假定
Y
服从均值为
μ
且协方差矩阵为
σ
2
R
的正态分布。
R
矩阵包含以下元素:
其中
详细信息,请参见 Santer (
2003
)。“三次”相关性结构中使用的 theta 参数是文献中经常使用的参数的倒数。使用倒数是为了在 theta 对模型没有影响时,让 rho 具有零值而非无穷大。