JMP 14.2 联机文档
发现 JMP
使用 JMP
基本分析
基本绘图
刻画器指南
实验设计指南
拟合线性模型
预测和专业建模
多元方法
质量和过程方法
可靠性和生存方法
消费者研究
Scripting Guide
JSL Syntax Reference
该帮助的版本不再更新,请参见
https://www.jmp.com/support/help/zh-cn/15.2
获取最新的版本.
预测和专业建模
•
高斯过程
•
“高斯过程”平台的统计详细信息
• 方差公式参数化
上一个
•
下一个
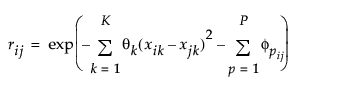
方差公式参数化
保存的方差公式使用以前定义的
R
的参数化,但在模型包括分类预测变量时例外。当高斯过程模型包含分类预测变量时,保存的方差公式将使用
R
的以下参数化:
其中,
和所有其他变量都和以前定义的一样。