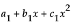
我们强烈建议您中心化多项式。
一些模型对于参数的起始值很敏感。使用新的起始值通常能起到效果。您可以编辑起始值,然后点击重置来查看是否有效。图也可以给您带来帮助, 使用滑块可以直观地修改曲线以达到更好的拟合效果。参数刻画器可以提供帮助,但是只适用于小数据集,对于其他数据集来说速度太慢。


