当您选择“简单移动平均”作为平滑模型时,显示“简单平滑平均规格”窗口。设 w 为简单移动平均 (SMA) 模型中的平滑窗口宽度。则针对某一时间点 t ,ft=(yt+yt-1+yt-2+...yt-(w-2)+yt-(w-1))/w 为 w 个连续观测的平均值。
图 16.9 “简单平滑平均规格”窗口
平滑窗口宽度 w,它定义要平均的连续点数。窗口宽度越大,序列越平滑。
|
‒
|
|
‒
|
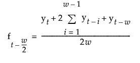
对于偶数 w,平滑窗口无法以正要估计序列的时间点为中心。该选项创建两个几乎中心化的平滑窗口,取它们的平均值。按以下方式计算平滑估计值:
图 16.10 “平滑模型”规格窗口
图 16.11 定制平滑权重
图 16.11中显示的示例具有固定为 0.3 的水平权重 (α),界限为 0.1 和 0.8 的趋势权重 (γ)。在该例中,趋势权重的值可以在范围 0.1-0.8 内变动,而水平权重则固定为 0.3。请注意,您可以使用这些定制约束预先指定所有平滑权重。这样就不用从数据估计权重,尽管仍计算预测和残差。



