JMP 14.2 联机文档
发现 JMP
使用 JMP
基本分析
基本绘图
刻画器指南
实验设计指南
拟合线性模型
预测和专业建模
多元方法
质量和过程方法
可靠性和生存方法
消费者研究
Scripting Guide
JSL Syntax Reference
该帮助的版本不再更新,请参见
https://www.jmp.com/support/help/zh-cn/15.2
获取最新的版本.
预测和专业建模
•
时间序列分析
•
“时间序列”平台的统计详细信息
• 谱密度的统计详细信息
上一个
•
下一个
谱密度的统计详细信息
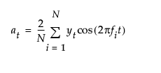
傅里叶序列的系数的最小二乘估计值按以下方式计算:
之后,与
f
i
=
i/N
进行组合形成周期图
I
(
f
i
) = (
N
/2)(
a
i
2
+
b
i
2
),表示频率
f
i
处的强度。
对周期图进行平滑处理,同时除以 (4
π
) 以统一尺度,得到谱密度。