μt 是时变均值项
βt 是时变斜率项
s(t) 是 s 时变季节性项中的一项
at 是随机扰动项
每个平滑模型定义一组递归平滑方程,用于描述这些估计量的变化过程。平滑方程是由被称为平滑权重的模型参数定义的:
α 是水平平滑权重
γ 是趋势平滑权重
ϕ 是趋势阻尼权重
δ 是季节性平滑权重
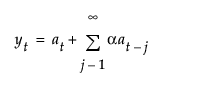
具有单个平滑权重 α 的平滑方程定义如下:
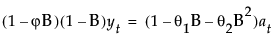
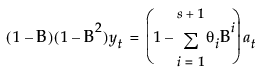
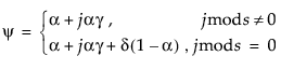
该模型等价于按以下方式定义的一个季节性 ARIMA(0, 1, s+1)(0, 1, 0)s 模型:

其中,



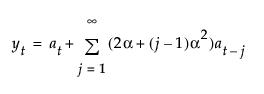
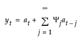
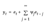
,其中
且 



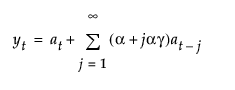
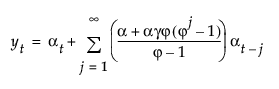
,其中
且 













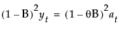
其中,





