JMP 14.2 联机文档
发现 JMP
使用 JMP
基本分析
基本绘图
刻画器指南
实验设计指南
拟合线性模型
预测和专业建模
多元方法
质量和过程方法
可靠性和生存方法
消费者研究
Scripting Guide
JSL Syntax Reference
该帮助的版本不再更新,请参见
https://www.jmp.com/support/help/zh-cn/15.2
获取最新的版本.
预测和专业建模
•
时间序列分析
•
“时间序列”平台的统计详细信息
• 转换函数的统计详细信息
上一个
•
下一个
转换函数的统计详细信息
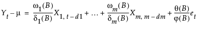
具有
m
个输入的典型转换函数模型可以表示为:
其中
Y
t
表示输出序列
X
1
到
X
m
表示
m
个输入序列
e
t
表示噪声序列
X
1,
t
–
d
1
表示滞后
d
1 期的
X
1
序列(
t
为时间索引)
μ
表示模型的均值水平
ϕ
(B) 和
θ
(B) 表示 ARIMA 模型的自回归和移动平均多项式
ω
k
(
B
) 和
δ
k
(
B
) 表示单个转换函数的分子和分母因子(或多项式),
k
表示从 1 到
m
的各个输入序列的索引。
以上模型中的每个多项式可以包含两个部分:非季节性、季节性或如季节性 ARIMA 中这两者之积。指定模型时,对于不想包含在模型中的任何部分保留默认值 0。