注意:滞后个数默认从 0 开始。要计算从滞后 1 期开始的相关性,请先修改 JMP 首选项,然后再生成图形。选择文件 > 首选项 > 平台 > 时间序列,然后选择>隐藏 ACF 和 PACF 中的滞后 0。
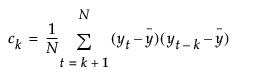
第 k 个滞后的自相关性计算如下所示:
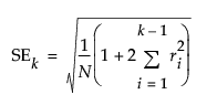
是时间序列中 N 个非缺失点的均值。按照定义,第一个自相关性(滞后 0)始终具有长度 1。自相关图以条形图的形式来表示自相关系数的大小。蓝色曲线表示两倍的 Large-lag 标准误差(± 2 倍标准误差),其计算公式如下:
第 k 个滞后期的偏自相关性。
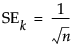
这些条以图形方式来表示偏自相关性的大小。蓝线表示近似 95% 预测限的 ± 2 个标准误差,其中标准误差的计算方式如下:
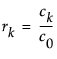
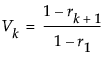
(对于所有 k)变差图测量相距 k 个滞后期的点差分的方差,并将它与相距 1 个滞后期的点差分的方差进行比较。变差图是从自相关性计算得到的,公式如下:
其中,

