|
•
|
n = 部件(分组变量)的数目
|
|
•
|
|
•
|
m = 评级员数
|
|
•
|
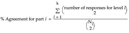
k = 水平数
|
|
•
|
Ni = m x ri。针对部件 i (i = 1,...,n) 的评级数。其中包含所有评级员的响应,以及针对某部件的重复评级次数。例如,若 3 个评级员每人给部件 i 测量了 3 次,则 Ni 为 3 x 3 = 9。
|




